Page 24 - TownofPantegoFY25Budget
P. 24
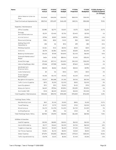
Name FY2022 FY2023 FY2024 FY2024 FY2025 FY2024 Budget vs.
Ac tual Ac tual Budget Projec ted Budgeted FY2025 Budgeted
(% Change)
Other Retainer & Service $43,848 $46,636 $36,000 $38,000 $36,000 0%
Fees
Total Contrac tual Agreements: $55,740 $72 ,097 $ 4 8 ,439 $60,114 $56 ,968 17.6%
Supplies / Maintenance
Of ce Supplies $3,980 $2,770 $3,500 $1,575 $2,250 -35.7%
Postage $3,291 $2,406 $2,750 $2,400 $2,750 0%
Service/Maintenance
Animal Control $1,782 $5,521 $2,500 $3,750 $3,500 40%
Planning & Zoning $384 $253 $400 $65 $200 -50%
Zoning Board Of $32 $0 $100 $35 $50 -50%
Adjustments
Printing Expense $1,364 $451 $1,000 $300 $500 -50%
Uniforms $2,176 $2,350 $4,000 $3,250 $4,000 0%
Building Maintenance $3,423 $7,189 $10,000 $2,400 $5,000 -50%
Sidewalk Maintenance / $454 $1,538 $15,000 $1,000 $15,000 0%
Repair
Street/Drainage $7,482 $17,740 $25,000 $10,000 $25,000 0%
Vehicle Exp/Equip M&O $7,268 $17,335 $4,500 $7,800 $4,500 0%
Landscaping & $5,909 $6,341 $5,280 $5,500 $5,750 8.9%
Improvements
Code Compliance $0 $0 $500 $575 $500 0%
Street Signage $4,138 $6,403 $7,500 $5,250 $7,500 0%
Maint/Repair
Equipment & Supplies $7,237 $12,288 $11,350 $9,750 $10,750 -5.3%
Traf c Control Supplies $972 $1,209 $2,000 $800 $2,000 0%
Lawn Equipment $701 $315 $1,500 $400 $750 -50%
Mosquito Control $4,941 $7,304 $12,500 $12,250 $12,500 0%
Stormwater R/M $100 $8,303 $10,000 $3,500 $10,000 0%
Total Supplies / Maintenance: $55,632 $99,7 15 $119, 380 $70,600 $112 ,500 -5. 8%
Training/ Dues / Misc .
Membership Dues $631 $1,246 $1,500 $800 $1,250 -16.7%
Travel/Training $1,107 $1,791 $3,500 $750 $3,000 -14.3%
Miscellaneous $4,012 $4,706 $4,500 $4,750 $4,500 0%
Staf ng Expense $0 $130 $0 $100 $0 0%
Total Training/ Dues / Misc .: $5,750 $7, 873 $9,500 $6 ,400 $8 ,750 -7.9%
Utilities & Gasoline
Gas/Oil Expense $9,295 $8,895 $9,000 $9,500 $9,000 0%
Gas And Electricity $3,177 $5,645 $5,000 $5,750 $6,000 20%
Telephone Expense $6,043 $7,020 $6,250 $7,250 $7,250 16%
Cell Phone Expense $1,864 $2,103 $1,800 $1,650 $1,650 -8.3%
Water Expense $17,674 $15,853 $16,000 $17,500 $23,000 43.8%
Traf c Signal Electricity $1,078 $1,031 $1,250 $1,400 $1,500 20%
Town of Pantego | Town of Pantego FY 2024-2025 Page 23

